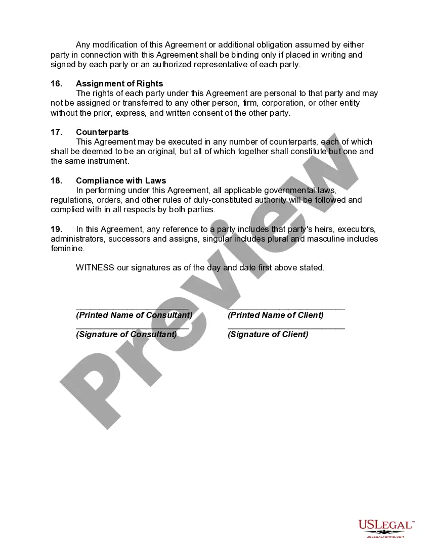
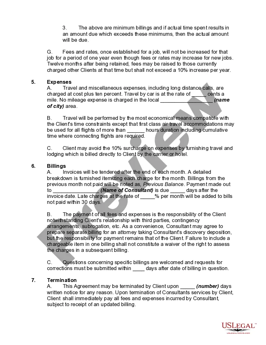
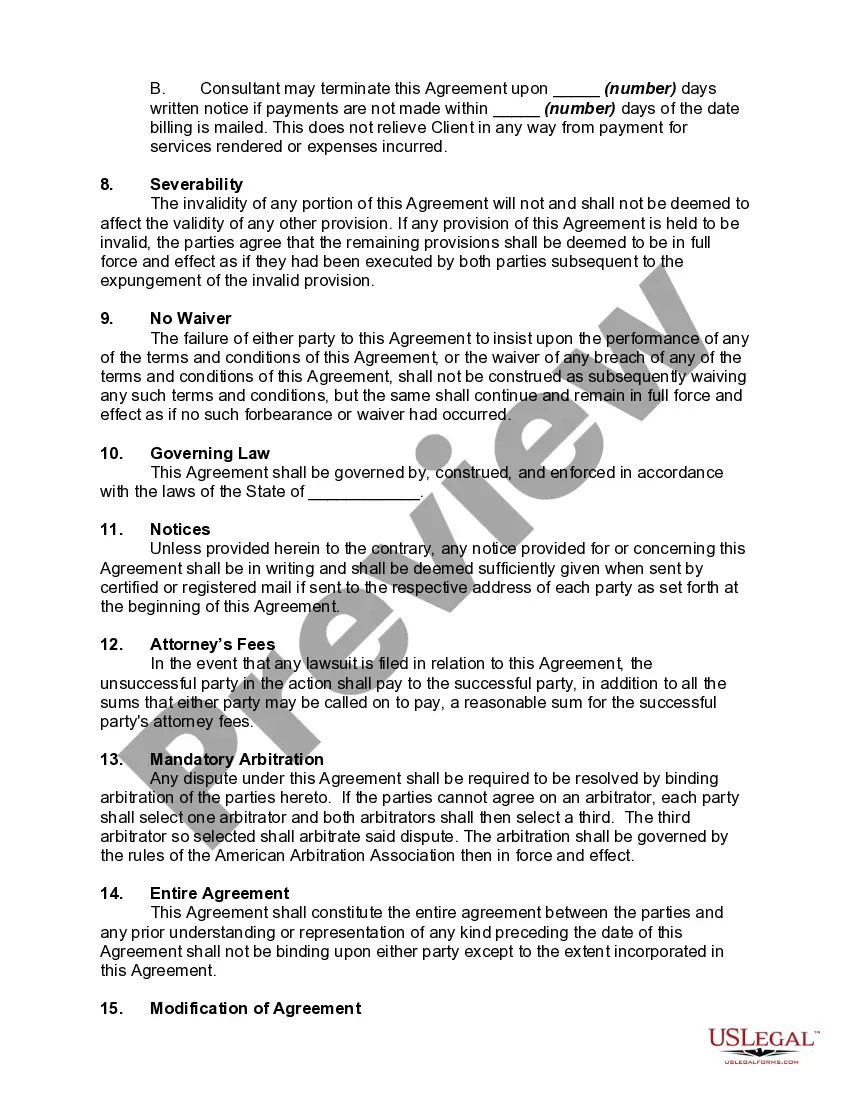
Indiana Consulting Agreement with Possible Expert Witness

State:
Multi-State
Control #:
US-03249BG
Format:
Word; 
Rich Text
Instant download

Description

An expert witness is a witness who has knowledge beyond that of the ordinary lay person enabling him/her to give testimony regarding an issue that requires expertise to understand. Experts are allowed to give opinion testimony which a non-expert witness may be prohibited from testifying to. In court, the party offering the expert must lay a foundation for the expert's testimony. Laying the foundation involves testifying about the expert's credentials and experience that qualifies him/her as an expert. Sometimes the opposing party will stipulate (agree to) to the expert's qualifications in the interests of judicial economy.


Experts are qualified according to a number of factors, including but not limited to, the number of years they have practiced in their respective field, work experience related to the case, published works, certifications, licensing, training, education, awards, and peer recognition. They may be called as upon as consultants to a case and also used to give testimony at trial. Once listed as a witness for trial, the materials they rely upon in forming an opinion in the case is subject to discovery by the opposing parties. Expert testimony is subject to attack on cross-examination in the form of questioning designed to bring out any limitations in the witness's qualifications and experience, lack of witness's confidence in his opinions, lack of the preparation done, or unreliability of the expert's sources, tests, and methods, among other issues.


Experts in a wide variety of backgrounds may testify, such as construction, forensics, gemstones, and many more areas. They are allowed to be compensated for their time and expenses in preparing for and giving testimony, as long as they are not being paid to perjure themselves.

Free preview
  • Preview Consulting Agreement with Possible Expert Witness
  • Preview Consulting Agreement with Possible Expert Witness
  • Preview Consulting Agreement with Possible Expert Witness
  • Preview Consulting Agreement with Possible Expert Witness
  • Preview Consulting Agreement with Possible Expert Witness

How to fill out Consulting Agreement With Possible Expert Witness?

If you need to complete, obtain, or print valid legal document templates, utilize US Legal Forms, the largest collection of legal forms available online.

Take advantage of the site's simple and user-friendly search to find the documents you need.

Various templates for business and personal purposes are organized by categories and states, or keywords.

Step 4. Once you find the form you need, click the Get now button. Choose the payment plan you prefer and enter your details to register for an account.

Step 5. Process the payment. You may use your credit card or PayPal account to complete the transaction.

  1. Utilize US Legal Forms to obtain the Indiana Consulting Agreement with Potential Expert Witness in just a few clicks.
  2. If you are already a US Legal Forms client, Log In to your account and select the Download option to access the Indiana Consulting Agreement with Potential Expert Witness.
  3. You can also access forms you've previously downloaded from the My documents section of your account.
  4. If you are using US Legal Forms for the first time, refer to the instructions below.
  5. Step 1. Ensure you have chosen the form for your specific city/state.
  6. Step 2. Use the Preview option to review the form's content. Don't forget to check the description.
  7. Step 3. If you are unsatisfied with the form, use the Search field at the top of the screen to find alternative templates in the legal form catalog.

Form popularity

FAQ

True, expert witnesses are allowed to state their professional opinions. This is a fundamental aspect of their role, especially within the framework of the Indiana Consulting Agreement with Possible Expert Witness. Their opinions are based on specialized knowledge, making them invaluable during legal trials. Understanding this can help parties involved recognize the importance of expert testimony in shaping the outcome of a case.

Expert witnesses are fully permitted to state their professional opinions, which can significantly influence a case. When an Indiana Consulting Agreement with Possible Expert Witness is established, it ensures that the expert's insights are both relevant and admissible in court. This allows for a more compelling argument and better outcomes for clients. Knowing how to leverage expert opinions can be a game changer in legal proceedings.

Yes, the rule indeed applies to expert witnesses. The Indiana Consulting Agreement with Possible Expert Witness clarifies the necessary qualifications and standards that must be met. By adhering to these regulations, expert witnesses ensure their testimonies are credible and beneficial in court. Understanding these rules helps both the client and the expert navigate legal challenges more effectively.

Yes, an expert witness can give opinions based on their expertise. This is especially relevant in legal cases where the Indiana Consulting Agreement with Possible Expert Witness outlines the role and responsibilities of the expert. Courts value these opinions because they often help clarify complex issues. Ultimately, this allows the judge or jury to make informed decisions.

The key difference lies in their roles during the legal process. A consulting expert provides non-testimonial support and guidance, while an expert witness prepares to testify about their specialized knowledge. An Indiana Consulting Agreement with Possible Expert Witness can help define these roles clearly, ensuring that parties understand the limitations and strengths of each function.

Generally, consulting experts have certain protections that may limit their discoverability in federal court. However, if a consulting expert becomes involved in testifying, aspects of their work may then be subject to disclosure. Understanding these nuances is crucial, and utilizing an Indiana Consulting Agreement with Possible Expert Witness helps parties navigate the complexities of expert involvement in litigation.

The judge plays a significant role in determining if a witness qualifies as an expert. They evaluate the witness’s qualifications, including education, experience, and specific knowledge relevant to the case. In the context of an Indiana Consulting Agreement with Possible Expert Witness, it's crucial that the selected expert can demonstrate their qualifications effectively to gain judicial approval.

An expert witness contract outlines the terms and conditions between an attorney and an expert witness. This agreement details responsibilities, payment, and engagement duration, often framed under an Indiana Consulting Agreement with Possible Expert Witness. It serves to protect the interests of both parties and ensure clarity regarding the expert's role and deliverables.

The terms 'expert' and 'consultant' are not hierarchical but rather define different roles in legal proceedings. An expert witness, particularly in the context of an Indiana Consulting Agreement with Possible Expert Witness, has a specialized function that often includes testifying in court. Consultants focus on providing strategic advice and analysis, which does not include court testimonials, making both essential yet different in their contributions.

An expert witness provides testimony in a legal setting based on their specialized knowledge, while an expert consultant offers advice to a party involved in litigation without necessarily testifying. The Indiana Consulting Agreement with Possible Expert Witness can clarify the scope of their involvement, ensuring both sides understand their roles. This distinction is important, as it affects how information is shared and whether it can be disclosed during the legal process.

Trusted and secure by over 3 million people of the world’s leading companies

Indiana Consulting Agreement with Possible Expert Witness