If you wish to comprehensive, obtain, or print out legal record layouts, use US Legal Forms, the most important selection of legal forms, which can be found online. Use the site`s easy and practical search to discover the papers you need. Numerous layouts for enterprise and personal reasons are categorized by types and says, or key phrases. Use US Legal Forms to discover the Indiana Master Deed Declaration of Condominium with a few clicks.
If you are already a US Legal Forms customer, log in in your profile and then click the Obtain key to get the Indiana Master Deed Declaration of Condominium. You can even access forms you in the past acquired in the My Forms tab of your own profile.
If you are using US Legal Forms initially, follow the instructions listed below:
Each legal record design you get is your own permanently. You have acces to each kind you acquired within your acccount. Click the My Forms section and choose a kind to print out or obtain once more.
Contend and obtain, and print out the Indiana Master Deed Declaration of Condominium with US Legal Forms. There are millions of expert and express-certain forms you may use for your personal enterprise or personal demands.
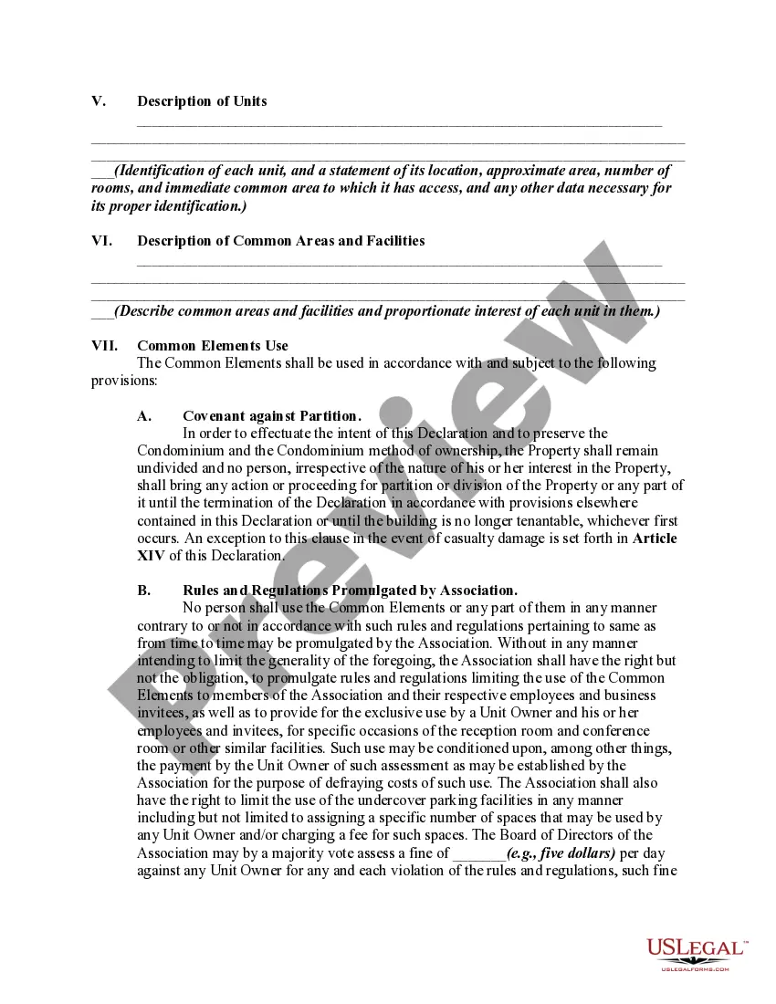
Condo laws are often called Horizontal property or strata title acts. Owners have Fee simple title but share common elements to which they are tenants in common.
Condo owners can be described as homeowners. A condo is a living residence that requires mortgage payments, taxes, and insurance.
Massachusetts law recognizes three types of deeds, each of which provides varying levels of protection for buyers and sellers. These three types are warranty deeds, quitclaim deeds, and release deeds.
What Are My Rights as a Condo Owner? As a condo owner, you have the right to use your unit as provided in the master deed ? if it's a residential condominium unit ? in a way that allows you to maintain a reasonable standard of living as required by Massachusetts health, safety and building laws.
Under Massachusetts General Law 183A section 6(c), the outstanding condominium fees are treated as a lien against a delinquent unit from the date they become due. A delinquent owner incurs personal liability for delinquent common charges, as well as late fees, fines, interest, and the costs of collection.
What is needed to create a condominium property? Condominium declaration and master deed.
Among these documents is the master deed, which is required to establish a condominium. The master deed divides a single property into individually owned units, provides a master floor plan, defines common areas, and lists the rights and obligations of all unit owners. An individual unit deed is also required.
Probably one of the most distinct features of condominium ownership lies in the concept of ?undivided ownership interest? of the common elements. All unit owners as members of the condominium's association share ownership of the common elements.
The Declaration must contain the marital status of the declarant. All title owners must sign the Declaration.
Master deed. This is a deed filed by a condominium owner to record the property and allow sales of the individual condos and use of communal areas by owners.
 
                     
                     
                     
                     
                     
                     
                     
                     
                     
                    