Iowa Assignment of Interest in Joint Venture

State:
Multi-State
Control #:
US-0572BG
Format:
Word; 
Rich Text
Instant download

Description

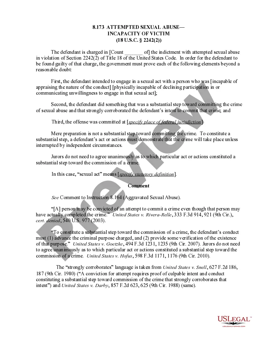
This form is an assignment of interest in a joint venture.

How to fill out Assignment Of Interest In Joint Venture?

US Legal Forms - one of the largest collections of legal documents in the United States - provides a range of legal template documents that you can download or print.

By utilizing the website, you can access thousands of forms for business and personal purposes, organized by categories, states, or keywords. You can find the most recent versions of forms such as the Iowa Assignment of Interest in Joint Venture in just a few seconds.

If you already have a subscription, Log In and download the Iowa Assignment of Interest in Joint Venture from the US Legal Forms library. The Download button will appear on each form you view. You can access all previously acquired forms from the My documents section of your account.

Select the format and download the form to your device.

Make changes. Fill out, modify, print, and sign the downloaded Iowa Assignment of Interest in Joint Venture.

Each template you add to your account does not expire and is yours indefinitely. Therefore, if you wish to download or print another copy, simply go to the My documents section and click on the form you need. Access the Iowa Assignment of Interest in Joint Venture with US Legal Forms, the most comprehensive collection of legal document templates. Utilize thousands of professional and state-specific templates that fulfill your business or personal requirements.

  1. If you are a first-time user of US Legal Forms, here are simple steps to get started:
  2. Ensure you have selected the correct form for your city/state.
  3. Click the Review button to inspect the content of the form. Read the description of the form to confirm that it is the appropriate one.
  4. If the form does not meet your needs, use the Search field at the top of the screen to find the right one.
  5. If you are satisfied with the form, validate your choice by clicking the Get now button. Then, select your preferred pricing plan and provide your credentials to create an account.
  6. Complete the purchase. Use your credit card or PayPal to finalize the transaction.

Form popularity

FAQ

The gift of a partnership interest generally does not result in the recognition of gain or loss by the donor or the donee. A gift is, however, subject to gift tax unless the gift qualifies for the annual gift tax exclusion or reduces the donor's lifetime gift tax applicable exclusion amount.

Whereas assignment only transfers a party's rights under a contract, novation transfers both a party's rights and its obligations. Strictly speaking, the original contract is extinguished and a new one formed between the incoming party and the remaining party to the original contract.

An Assignment of Partnership Interest occurs when a partner sells their stake in a partnership to a third party. The assignment document records the details of the transfer to the new partner.

To establish the existence of a joint venture, a plaintiff will be called upon to plead and prove all of the required elements for such: a manifestation of intent of the parties to be associated as joint venturers; mutual contribution to the joint undertaking through a combination of property, financial resources,

Transfer of limited partnership interest is allowed as long as the general partner consents to the arrangement and it is done in concert with the established partnership agreement. A common example of a limited partnership is the family limited partnership, which is often created to administer a family business.

However, the assignee does not become a partner without the consent of the other partners. Without this consent, the assignee is only entitled to receive the assignor's share of the profits of the partnership and the assignor's interest when the partnership dissolves.

What is included in a Joint Venture Agreement?Business location.The type of joint venture.Venture details, such as its name, address, purpose, etc.Start and end date of the joint venture.Venture members and their capital contributions.Member duties and obligations.Meeting and voting details.More items...

The common elements necessary to establish the existence of a joint venture are an express or implied contract, which includes the following elements: (1) a community of interest in the performance of the common purpose; (2) joint control or right of control; (3) a joint proprietary interest in the subject matter; (4)

A joint venture agreement sets out the parties' rights and obligations in relation to a joint venture. It explains who will contribute what, how decisions will be made, and how profits and liabilities will be shared.

The following is included in a Joint Venture Agreement:Business location.The type of joint venture.Venture details, such as its name, address, purpose, etc.Start and end date of the joint venture.Venture members and their capital contributions.Member duties and obligations.Meeting and voting details.More items...

Trusted and secure by over 3 million people of the world’s leading companies

Iowa Assignment of Interest in Joint Venture