Guam Agreement to Dissolve Partnership with one Partner Purchasing the Assets of the Other Partner

State:
Multi-State
Control #:
US-0128BG
Format:
Word; 
Rich Text
Instant download

Description

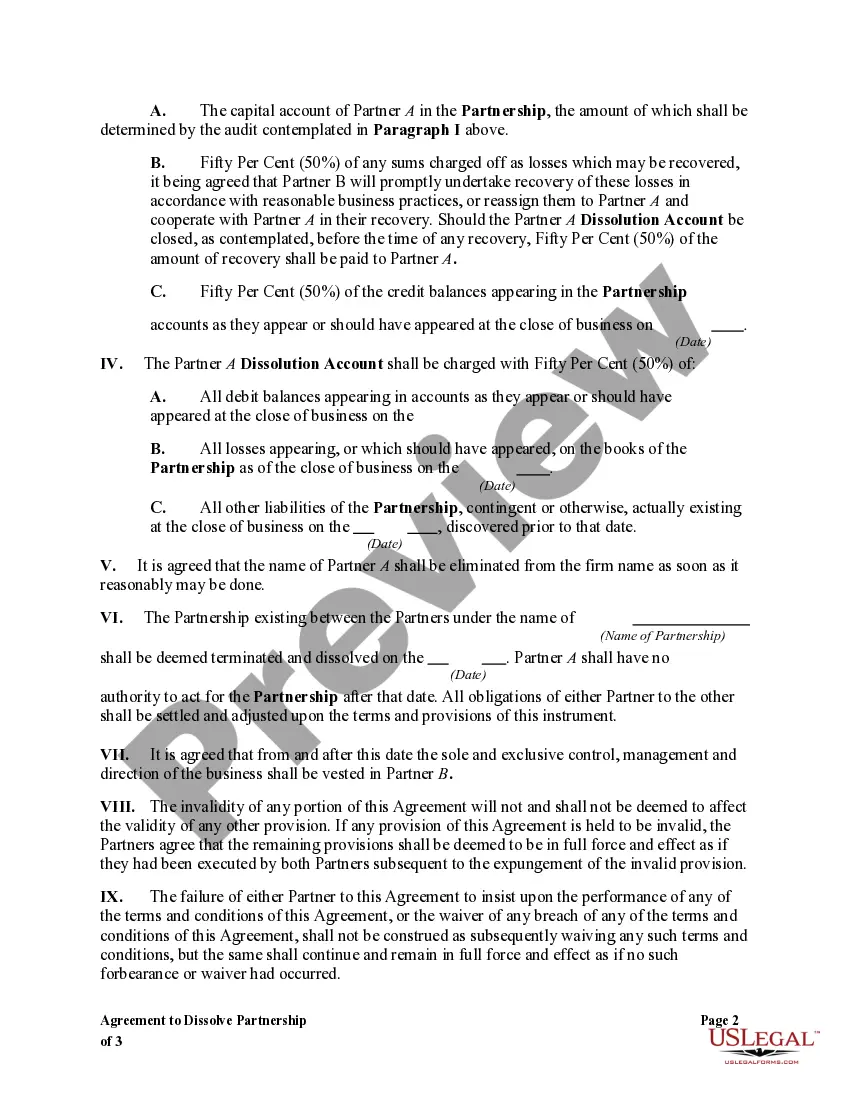
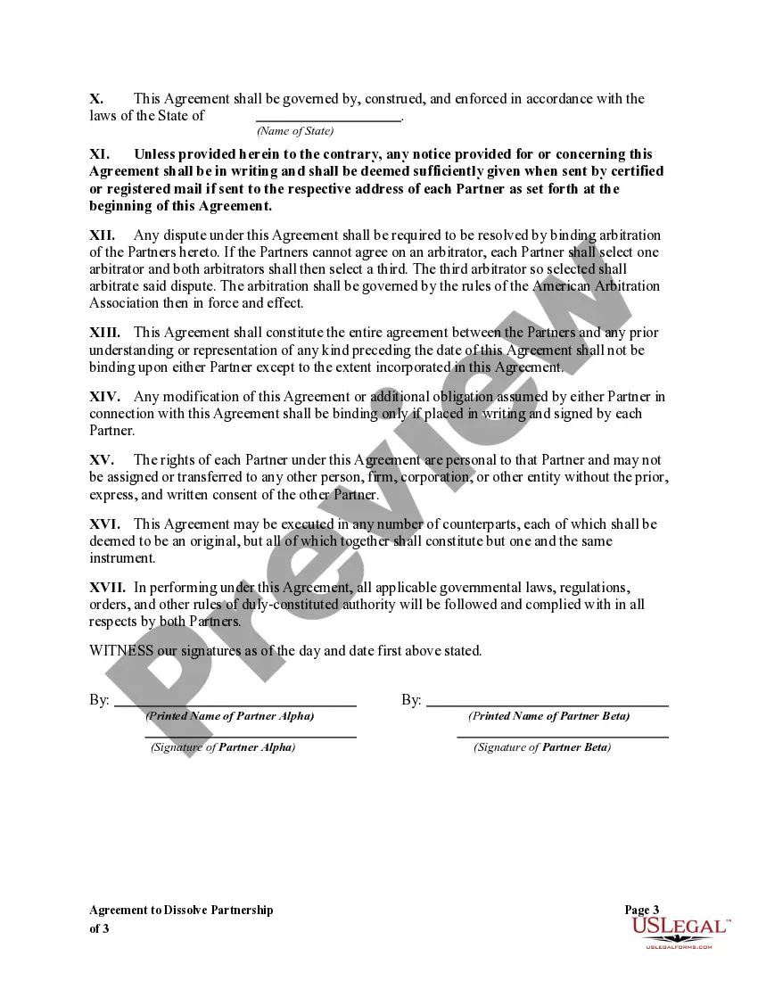
Partnerships may be dissolved by acts of the partners, order of a Court, or by operation of law. From the moment of dissolution, the partners lose their authority to act for the firm except as necessary to wind up the partnership affairs or complete transactions which have begun, but not yet been finished.



A partner has the power to withdraw from the partnership at any time. However, if the withdrawal violates the partnership agreement, the withdrawing partner becomes liable to the co-partners for any damages for breach of contract. If the partnership relationship is for no definite time, a partner may withdraw without liability at any time.

Free preview
  • Preview Agreement to Dissolve Partnership with one Partner Purchasing the Assets of the Other Partner
  • Preview Agreement to Dissolve Partnership with one Partner Purchasing the Assets of the Other Partner
  • Preview Agreement to Dissolve Partnership with one Partner Purchasing the Assets of the Other Partner

How to fill out Agreement To Dissolve Partnership With One Partner Purchasing The Assets Of The Other Partner?

Have you ever been in a situation where you need documents for occasional organization or specific purposes nearly every day.

There are numerous legitimate document templates available online, but finding reliable ones is not easy.

US Legal Forms offers a vast array of document templates, such as the Guam Agreement to Dissolve Partnership with one Partner Acquiring the Assets of the Other Partner, which can be drafted to meet federal and state regulations.

Choose a convenient document format and download your copy.

Access all of the document templates you have purchased in the My documents section. You can obtain another copy of the Guam Agreement to Dissolve Partnership with one Partner Acquiring the Assets of the Other Partner at any time, if needed. Simply navigate to the appropriate document to download or print the template.

Utilize US Legal Forms, the largest collection of legitimate forms, to save time and prevent errors. The service provides properly crafted legal document templates that can be utilized for a variety of purposes. Create an account on US Legal Forms and begin simplifying your life.

  1. If you are already acquainted with the US Legal Forms website and hold an account, simply Log In.
  2. Afterward, you can download the Guam Agreement to Dissolve Partnership with one Partner Acquiring the Assets of the Other Partner template.
  3. If you do not have an account and wish to start using US Legal Forms, follow these steps.
  4. Obtain the document you need and ensure it is for the correct city/county.
  5. Utilize the Preview button to review the form.
  6. Read the description to ensure you have selected the right document.
  7. If the document is not what you are looking for, use the Search field to find the document that suits your needs and requirements.
  8. Once you discover the correct document, click on Get now.
  9. Select the pricing plan you desire, fill in the necessary details to create your account, and make payment for the order using your PayPal or credit card.

Form popularity

FAQ

The procedure for dissolving a partnership typically starts with a discussion between partners, leading to the creation of the Guam Agreement to Dissolve Partnership with one Partner Purchasing the Assets of the Other Partner. This document should specify the next steps for asset division and liability management. Following legal requirements will ensure a smooth transition.

To remove yourself from a partnership, you should provide notice to your partner and discuss the exit strategy. You can use the Guam Agreement to Dissolve Partnership with one Partner Purchasing the Assets of the Other Partner to outline your exit terms, including asset transfers. Open communication is key to a successful separation.

Partnerships may dissolve under various circumstances, such as mutual agreement, expiration of a term, or one partner's exit. The Guam Agreement to Dissolve Partnership with one Partner Purchasing the Assets of the Other Partner is useful in these cases. It's essential to address all factors impacting the dissolution to avoid conflicts.

Dissolving a partnership agreement requires drafting a formal document known as the Guam Agreement to Dissolve Partnership with one Partner Purchasing the Assets of the Other Partner. This document should detail asset distribution, liability management, and any other relevant terms. Consulting a legal professional can ensure compliance with state laws.

To end a partnership gracefully, communicate openly with your partner about the decision to dissolve. Utilize the Guam Agreement to Dissolve Partnership with one Partner Purchasing the Assets of the Other Partner to clarify the division of assets. A respectful conversation can help maintain good relations for future endeavors.

Dissolving a partnership agreement involves creating a formal document, known as the Guam Agreement to Dissolve Partnership with one Partner Purchasing the Assets of the Other Partner. It is essential to outline the terms, including asset division and liabilities. You should involve all partners in the discussion to ensure a smooth process.

Yes, any partnership can generally be dissolved by the mutual agreement of its partners. This agreement is often documented through a legal instrument, such as the Guam Agreement to Dissolve Partnership with one Partner Purchasing the Assets of the Other Partner. Following a structured process ensures all partners are aware of their obligations and rights. Taking these steps provides both clarity and security as partners transition out of the business.

Removing a partner from a partnership agreement typically requires a formal process, often specified in the partnership contract. You may need to create a Guam Agreement to Dissolve Partnership with one Partner Purchasing the Assets of the Other Partner to document the buyout or withdrawal. Consulting with legal professionals can be beneficial to ensure all steps are properly executed and compliant with state laws. This process promotes fairness and transparency.

Partnerships can be dissolved in several ways, including mutual consent, expiration of a term, or through the Guam Agreement to Dissolve Partnership with one Partner Purchasing the Assets of the Other Partner. Another method is judicial dissolution, where a court intervenes, often due to disagreements between partners. Understanding these methods helps partners navigate the dissolution process more effectively, ensuring it meets legal requirements.

Yes, a partner can dissolve the partnership at any time, but they must follow the procedures outlined in the partnership agreement. If no such agreement exists, the Guam Agreement to Dissolve Partnership with one Partner Purchasing the Assets of the Other Partner can serve as a guiding document for this process. It may also be wise to consult with a legal professional to ensure compliance with state laws. Ultimately, clear communication between partners is crucial during dissolution.

Trusted and secure by over 3 million people of the world’s leading companies

Guam Agreement to Dissolve Partnership with one Partner Purchasing the Assets of the Other Partner