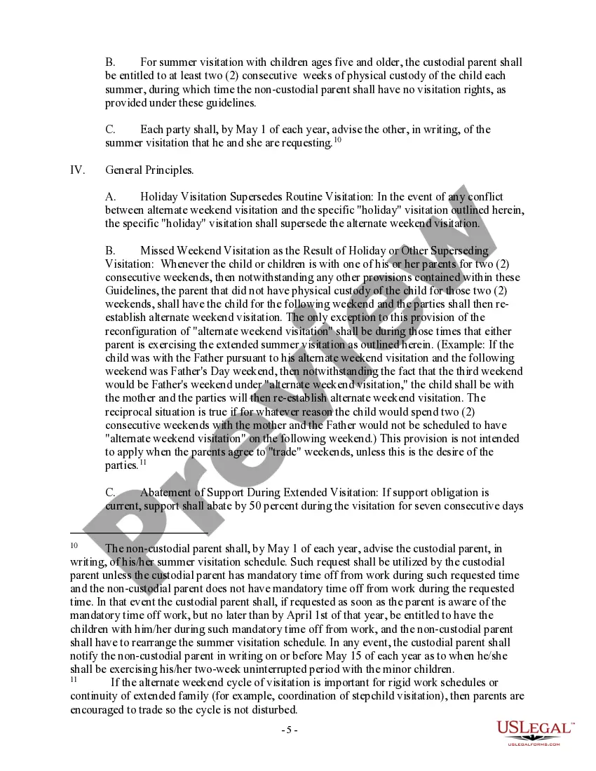
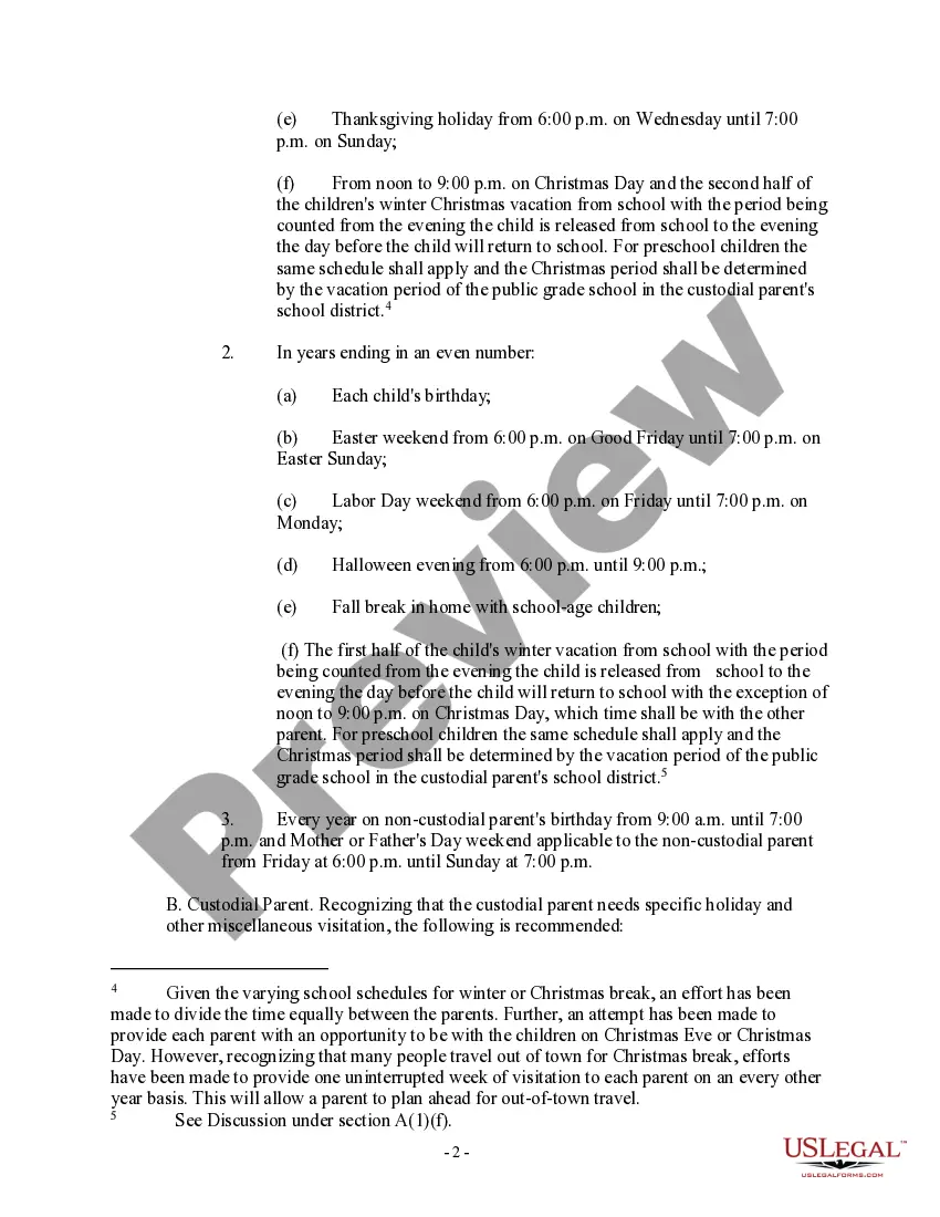
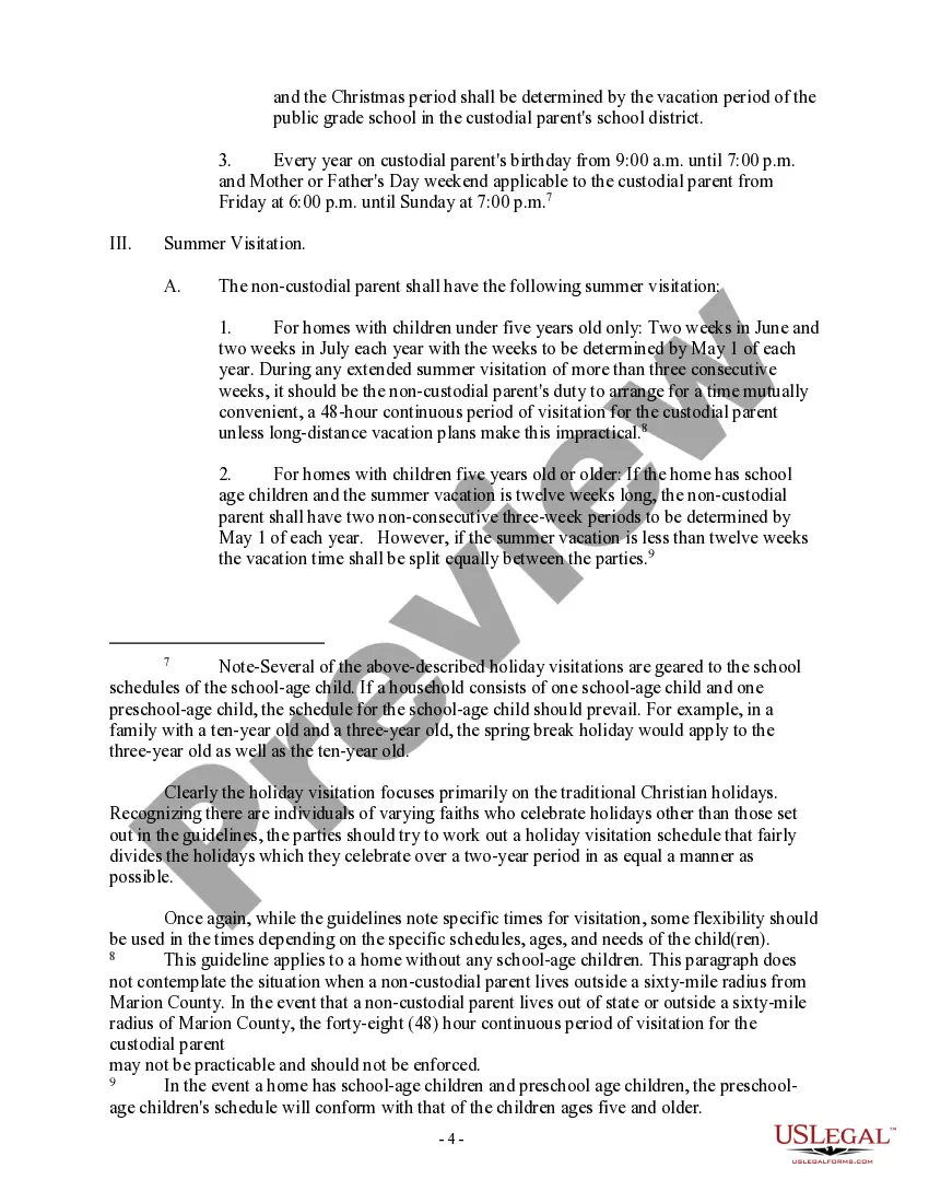
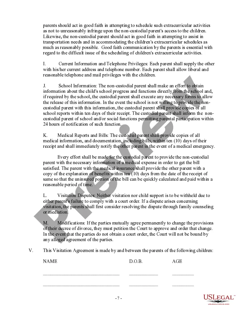
Visitation Format Document With Vscode

State:
Multi-State
Control #:
US-02537
Format:
Word; 
Rich Text
Instant download

Description

The Visitation Agreement (Sole Custody) serves as a structured format for outlining the visitation rights of non-custodial parents in cases where sole custody has been awarded. This document specifies routine, holiday, and summer visitation schedules, ensuring clarity in the allocation of time between parents. Users can find it beneficial as it encourages mutual agreement on visitation times, but also provides a court-established schedule if conflicts arise. Key features include detailed time allocations, flexibility for parents to agree on visitation specifics, and provisions for managing missed visitation. The form includes general principles that govern visitation, such as pick-up protocols and communication expectations between parents. Designed for use by a diverse audience including attorneys, partners, owners, associates, paralegals, and legal assistants, this form promotes fairness and compliance with custody arrangements. Additionally, it assists legal professionals in drafting and finalizing visitation terms that reflect the best interests of the children involved. The document can be easily filled and edited using VSCode for clarity and organization, making it accessible for lawyers and legal staff working with clients navigating custody agreements.
Free preview
  • Preview Visitation Guidelines
  • Preview Visitation Guidelines
  • Preview Visitation Guidelines
  • Preview Visitation Guidelines
  • Preview Visitation Guidelines
  • Preview Visitation Guidelines
  • Preview Visitation Guidelines
  • Preview Visitation Guidelines

How to fill out Visitation Guidelines?

Accessing legal document samples that comply with federal and regional regulations is a matter of necessity, and the internet offers a lot of options to choose from. But what’s the point in wasting time looking for the right Visitation Format Document With Vscode sample on the web if the US Legal Forms online library already has such templates gathered in one place?

US Legal Forms is the most extensive online legal catalog with over 85,000 fillable templates drafted by lawyers for any business and life case. They are simple to browse with all documents grouped by state and purpose of use. Our specialists keep up with legislative updates, so you can always be confident your form is up to date and compliant when getting a Visitation Format Document With Vscode from our website.

Obtaining a Visitation Format Document With Vscode is easy and quick for both current and new users. If you already have an account with a valid subscription, log in and save the document sample you need in the preferred format. If you are new to our website, adhere to the instructions below:

  1. Take a look at the template utilizing the Preview option or through the text outline to make certain it meets your requirements.
  2. Look for a different sample utilizing the search tool at the top of the page if needed.
  3. Click Buy Now when you’ve located the right form and opt for a subscription plan.
  4. Create an account or sign in and make a payment with PayPal or a credit card.
  5. Choose the right format for your Visitation Format Document With Vscode and download it.

All documents you locate through US Legal Forms are multi-usable. To re-download and complete earlier obtained forms, open the My Forms tab in your profile. Take advantage of the most extensive and easy-to-use legal paperwork service!

Form popularity

FAQ

Navigate to File > Preferences > Settings (Ctrl+,) to customize how your . cs files are formatted. The Settings editor gives you a list of different formatting options (particularly under Commonly Used and Text Editor) that you can adjust across your specific workspace or your entire user profile.

VS Code has great support for source code formatting. The editor has two explicit format actions: Format Document (Ctrl+Shift+I) - Format the entire active file. Format Selection (Ctrl+K Ctrl+F) - Format the selected text.

Click on the formatting section of the Text Editor tab and enable Format on Save Mode. Step 3: Format your code. Now, highlight your code and right-click. Select Format Document. ... Step 4: Select Prettier as the default. After you click on configure, select Prettier as the default formatter. And that's it!

To use Prettier, you need to the VSCode Prettier plugin in your Visual Studio Code editor. Once installed, you can format your code using Prettier by pressing Shift + Alt + F or by right-clicking and selecting Format Document .

You can format your Go file using Ctrl+Shift+I or by running the Format Document command from the Command Palette or the context menu in the editor. By default, formatting is run when you save your Go file. You can disable this behavior by setting editor.formatOnSave to false for the [go] language identifier.

Trusted and secure by over 3 million people of the world’s leading companies

Visitation Format Document With Vscode