Bathroom Form With Checkbox

State:
Multi-State
Control #:
US-02030BG
Format:
Word; 
Rich Text
Instant download

Description

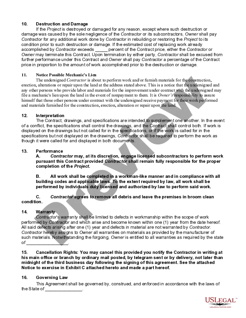
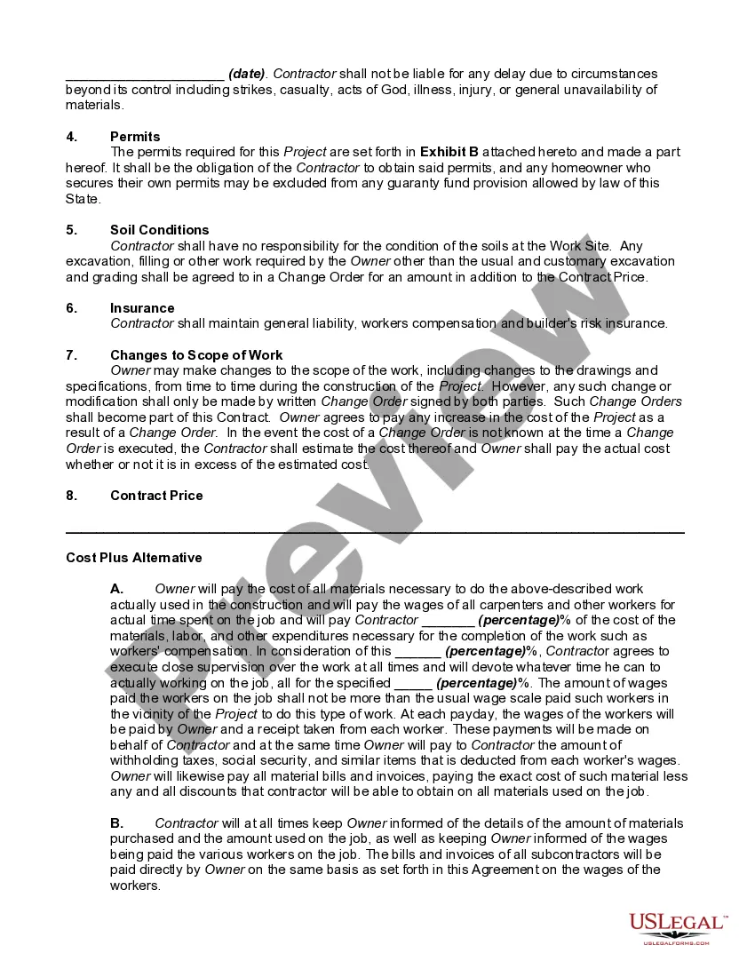
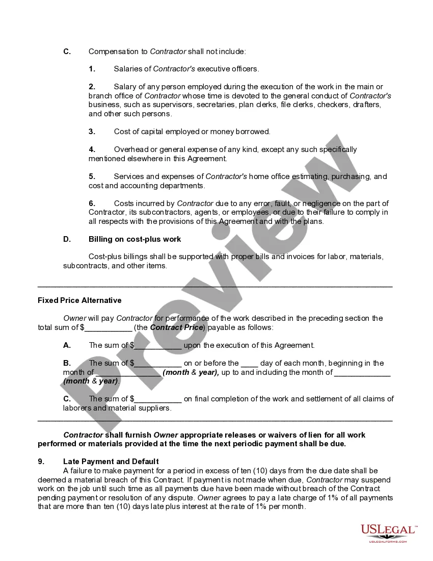
The Bathroom Form with Checkbox is an essential document for parties involved in bathroom remodeling contracts. This form allows users, including attorneys, owners, and legal assistants, to outline key terms such as the scope of work, project timeline, and payment structure. Each section of the form includes checkboxes for clarity and ease of completion, ensuring important details are not overlooked. It is designed to facilitate smooth communication between the owner and contractor, while also including provisions for permits, changes in scope, and warranties. Users can annotate specific details in the provided spaces, making the form customizable for different remodeling projects. To fill out the form, users should clearly date the agreement, enter their names and addresses, and specify the terms relevant to their specific situation. Utilizing this form can prevent misunderstandings and disputes, as it clearly articulates the expectations and responsibilities of both parties. Additionally, it serves as a legal record should any disputes arise, making it an invaluable tool for all parties involved in bathroom remodeling.
Free preview
  • Preview Construction Contract for Bathroom Remodeling
  • Preview Construction Contract for Bathroom Remodeling
  • Preview Construction Contract for Bathroom Remodeling
  • Preview Construction Contract for Bathroom Remodeling
  • Preview Construction Contract for Bathroom Remodeling
  • Preview Construction Contract for Bathroom Remodeling

How to fill out Construction Contract For Bathroom Remodeling?

Obtaining legal templates that adhere to federal and state laws is crucial, and the web provides numerous alternatives to select from.

However, why squander time looking for the suitable Bathroom Form With Checkbox example online when the US Legal Forms digital library already compiles such templates in one location.

US Legal Forms is the largest online legal repository with more than 85,000 editable templates created by attorneys for any business and personal scenario. They are straightforward to navigate with all documents organized by state and intended use.

Search for another example using the search tool at the top of the page if necessary. When you find the right form, click Buy Now and select a subscription option. Create an account or Log In and process payment via PayPal or a credit card. Choose the appropriate format for your Bathroom Form With Checkbox and download it. All templates accessed through US Legal Forms are reusable. To re-download and complete previously acquired forms, visit the My documents section in your account. Experience the most comprehensive and user-friendly legal documentation service!

  1. Our experts stay updated with legislative changes, ensuring that your form is always current and compliant when you obtain a Bathroom Form With Checkbox from our site.
  2. Acquiring a Bathroom Form With Checkbox is quick and easy for both existing and new users.
  3. If you possess an account with an active subscription, Log In and download the document sample you require in the appropriate format.
  4. If you are a newcomer to our site, follow the steps below.
  5. Review the template using the Preview feature or through the text outline to verify it fulfills your requirements.

Form popularity

FAQ

Insert a check box on a form template that is based on an existing data source On the form template, place the cursor where you want to insert the control. If the Controls task pane is not visible, click More Controls on the Insert menu, or press ALT+I, C. Under Insert controls, click Check Box.

On the Home tab, choose the down-arrow next to the Bullets list to open the bullet library, and then choose the checkbox symbol.

In the document, click where you want to add the control. On the Developer tab, under Form Controls, select Text Box, Check Box, or Combo Box. To set specific properties for the control, select Options, and then configure the properties that you want.

How to insert a checkbox in Word Navigate to the "Symbols" section of the bullet point menu. First, click on the space in the document where you'd like the checkbox to appear. ... Select the "checkbox" option in "Symbols" ... Type your list using checkboxes. ... Enable the developer toolbar. ... Insert checkbox. ... Test checkbox functionality.

We know that the checkbox is unchecked by default so we need to tell the browser what message to display. The onchange event handler on the checkbox then toggles the error message. When the checkbox is valid (checked) the message is set to blank which tells the browser that it's ok for the form to be submitted.

Trusted and secure by over 3 million people of the world’s leading companies

Bathroom Form With Checkbox