Cslb Home Improvement Contract Form

State:
Multi-State
Control #:
US-01045BG
Format:
Word; 
Rich Text
Instant download

Description

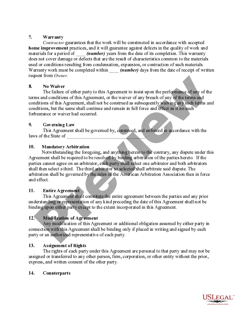
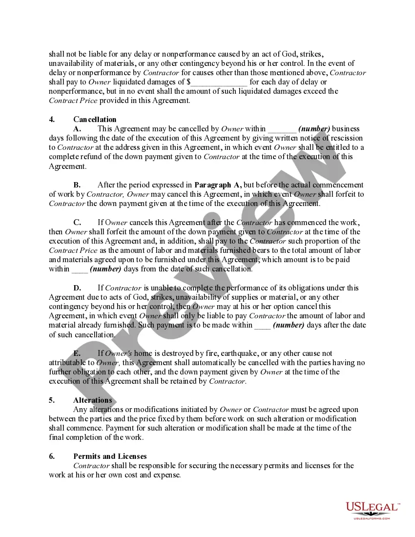
The Cslb home improvement contract form is a detailed legal document that outlines the agreement between a homeowner and a contractor for residential remodeling or renovation projects. Key features include a description of the work to be performed, payment terms, project timelines, and clauses addressing cancellation, alterations, and warranties. Individuals filling out the form must provide accurate information regarding the parties involved, the scope of work, and associated costs. Additionally, there are provisions for permits and licenses, ensuring that the contractor is responsible for compliance with local regulations. The form also incorporates mandatory arbitration for dispute resolution, a clause that is crucial for parties seeking to limit litigation. This contract is particularly useful for attorneys, partners, owners, associates, paralegals, and legal assistants who are involved in real estate transactions or construction law. It provides a clear framework to protect the interests of both homeowners and contractors, ensuring that both parties are aware of their rights and responsibilities.
Free preview
  • Preview Home Improvement or Remodeling Construction Contract
  • Preview Home Improvement or Remodeling Construction Contract
  • Preview Home Improvement or Remodeling Construction Contract
  • Preview Home Improvement or Remodeling Construction Contract

How to fill out Home Improvement Or Remodeling Construction Contract?

Navigating through the red tape of official documents and templates can be challenging, particularly if one is not engaged in that professionally.

Even locating the correct template for a Cslb Home Improvement Contract Form can be a lengthy process, as it must be valid and accurate down to the last digit.

However, you will significantly reduce the time spent searching for a suitable template if it originates from a source you can rely on.

Acquire the proper form in a few straightforward steps: Enter the title of the document in the search bar. Locate the corresponding Cslb Home Improvement Contract Form in the list of results. Review the description of the sample or open its preview. When the template meets your needs, click Buy Now. Proceed to select your subscription plan. Use your email and create a secure password to register for an account at US Legal Forms. Choose a credit card or PayPal payment option. Save the template document on your device in your preferred format. US Legal Forms will save you time and effort in determining if the form you discovered online is suitable for your requirements. Create an account and gain unlimited access to all the templates you need.

  1. US Legal Forms is a platform that streamlines the process of finding the right forms online.
  2. US Legal Forms is a single place you need to access the latest templates of forms, understand their use, and download these samples to complete them.
  3. This is a library containing over 85K forms applicable in various fields of work.
  4. When seeking a Cslb Home Improvement Contract Form, you can have confidence in its validity since all forms are verified.
  5. Having an account at US Legal Forms will guarantee that you have all the necessary templates at your fingertips.
  6. You can store them in your history or add them to the My documents collection.
  7. Access your saved forms from any device by simply clicking Log In on the library's website.
  8. If you still do not possess an account, you can always search for the template you require.

Form popularity

FAQ

Contractors cannot ask for a deposit of more than 10 percent of the total cost of the job or $1,000, whichever is less. (This applies to any home improvement project, including swimming pools.) Stick to your schedule of payments and don't let payments get ahead of the completed work.

The contract should describe, in detail, the products to be used and how the work will be performed, i.e., size, color, who will be doing what work, amounts of materials provided, manufacturer model number, etc. There must be a detailed, written payment schedule in the contract.

7 Things Every Remodeling Contract Must HaveA description of the project.How (and how often) the contractor will be paid.Lien waivers.Approximate project dates.A procedure for changes.An escape hatch.Signatures.

One states, A time and materials contract for construction is perfectly legal in California, if you agreed to it . . . and another states, Generally, T&M contracts for home improvement projects are allowed.

The California statute of limitations for breach of contract and breach of implied warranty is two years for oral agreements and four years for written ones. The general rule is that the period runs from the breach itself.

Trusted and secure by over 3 million people of the world’s leading companies

Cslb Home Improvement Contract Form