New Hampshire General Power Of Attorney Form

State:
New Hampshire
Control #:
NH-P003
Format:
Word; 
Rich Text
Instant download

This form is part of a form package!

Get all related documents in one bundle, so you don’t have to search separately.

Description

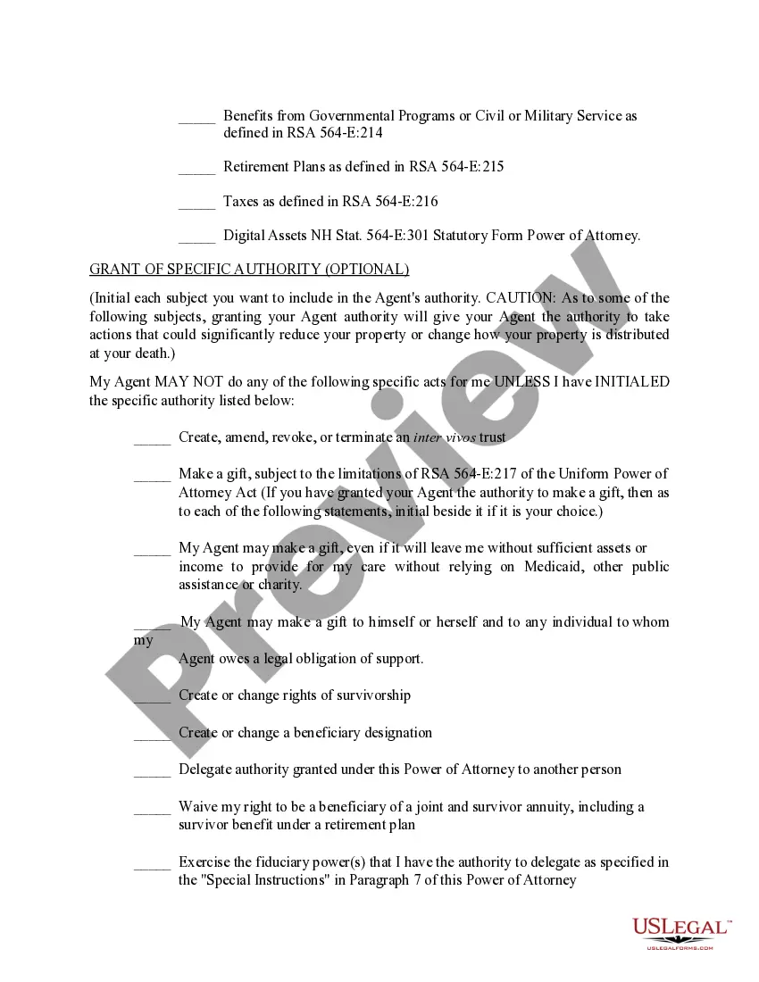
The New Hampshire General Power of Attorney Form is a vital legal document that allows a principal to grant authority to an agent for making decisions regarding their money, property, or both. This form covers broad powers unless specified otherwise, and can be effective immediately or contingent upon the principal’s incapacity. Important sections include the designation of an agent, the ability to name successor agents, and the option to revoke existing powers of attorney. Users can grant general or specific authority, covering areas such as real property, finances, and healthcare. Filling out the form requires the principal to provide clear names and addresses, and to initial specific powers granted to the agent. This form is especially useful for attorneys, partners, owners, associates, paralegals, and legal assistants, facilitating estate planning or financial management for clients. By using this document, practitioners can ensure compliance with state laws and provide their clients with reassurance regarding the management of their affairs in case of incapacity.
Free preview
  • Preview General Durable Power of Attorney for Property and Finances or Financial Effective upon Disability
  • Preview General Durable Power of Attorney for Property and Finances or Financial Effective upon Disability
  • Preview General Durable Power of Attorney for Property and Finances or Financial Effective upon Disability
  • Preview General Durable Power of Attorney for Property and Finances or Financial Effective upon Disability
  • Preview General Durable Power of Attorney for Property and Finances or Financial Effective upon Disability
  • Preview General Durable Power of Attorney for Property and Finances or Financial Effective upon Disability

How to fill out New Hampshire General Durable Power Of Attorney For Property And Finances Or Financial Effective Upon Disability?

What is the most dependable service to acquire the New Hampshire General Power Of Attorney Form and other current versions of legal documents.

US Legal Forms is the solution! It boasts the largest assortment of legal forms for any situation.

If you have yet to create an account with our library, follow these steps: Form compliance assessment. Before accessing any template, ensure it meets your specific use case requirements and complies with your state or county regulations. Review the form description and utilize the Preview feature if it is available.

  1. Each template is skillfully created and verified for adherence to federal and state laws and guidelines.
  2. They are organized by region and state of application, making it simple to find what you are looking for.
  3. Experienced users of the platform just need to Log In to the system, ascertain their subscription's validity, and click the Download button next to the New Hampshire General Power Of Attorney Form to obtain it.
  4. Once saved, the template is accessible for future reference in the My documents section of your account.
Decorative icon for this block

Power of Attorney and Living Will / Health Care Directive

Take advantage of personalized templates with US Legal Forms. Complete a simple survey to describe your case and get the appropriate Power of Attorney for your state and situation.

Form popularity

FAQ

Components of a POAFull name of the principal.Full name of the agent(s)Full name of two witnesses.Age and address of the principal and the agent along with valid proof.Duration of the POA (if applicable)Specifications about the extent of authority given to the agent.

Sign the POA in the Presence of a Notary Public As mentioned above, in New Hampshire, you should have your POA notarized.

(a) An instrument creating a power-of-attorney, its execution being verified by affidavit, statutory declaration or other sufficient evidence, may, with the affidavit or declaration, if any, be deposited in the High Court 5 or District Court within the local limits of whose jurisdiction the instrument may be.

In order to make a power of attorney, you must be capable of making decisions for yourself. This is called having mental capacity see under heading, When does someone lack mental capacity? You can only make a power of attorney which allows someone else to do things that you have a right to do yourself.

One must mention the following details on the Power of Attorney format PDF:The name of the principal.The name of the agent.Signature.Details and legal authorities provided to the agent.Other details depending on the Power of Attorney format for authorized signatories.

Trusted and secure by over 3 million people of the world’s leading companies

New Hampshire General Power Of Attorney Form