Mandatory Reconsideration Esa Appeal Form

State:
New Hampshire
Control #:
NH-BH-113-04
Format:
PDF
Instant download
This form is available by subscription

Description

The Mandatory Reconsideration ESA Appeal Form is designed for individuals seeking to challenge a decision related to their Employment and Support Allowance (ESA) in the UK. This form is crucial for users who believe their ESA claim has been incorrectly assessed. It provides a straightforward process for appealing decisions, allowing users to articulate the grounds for their reconsideration clearly. The form must be completed with accurate information, outlining the reasons for the appeal, and submitted within the specified timeframe. For legal professionals, such as attorneys, paralegals, and legal assistants, this form is essential in supporting clients during the appeal process. It aids in compiling necessary documentation and evidence needed to strengthen the case. The form is also beneficial for partners and associates who assist clients with navigating the complexities of the ESA system. Proper filling and editing instructions highlight the importance of submitting a well-prepared appeal, which can significantly impact the outcome of the case. Overall, this form serves as a key tool in advocating for clients' rights and ensuring they receive the support they require.
Free preview
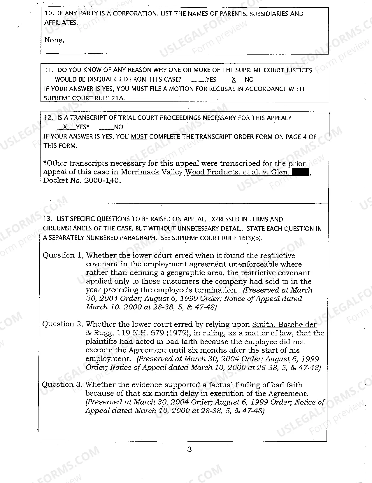
  • Preview A01 Notice of Mandatory Appeal
  • Preview A01 Notice of Mandatory Appeal
  • Preview A01 Notice of Mandatory Appeal
  • Preview A01 Notice of Mandatory Appeal
  • Preview A01 Notice of Mandatory Appeal
  • Preview A01 Notice of Mandatory Appeal
  • Preview A01 Notice of Mandatory Appeal

How to fill out New Hampshire Notice Of Mandatory Appeal?

How to obtain professional legal documents that adhere to your state regulations and complete the Mandatory Reconsideration Esa Appeal Form without seeking assistance from a lawyer.

Numerous online services offer templates to address various legal matters and formal requirements. However, it might require time to identify which of the available samples satisfy both your use case and legal standards.

US Legal Forms is a trustworthy service that assists you in finding official documents created according to the most recent state law changes, helping you save on legal fees.

If you do not have an account with US Legal Forms, follow the steps below: Examine the webpage you have opened and verify if the form suits your requirements. To do this, utilize the form description and preview options if offered. Search for another template in the header that supplies your state if necessary. Click the Buy Now button upon finding the correct document. Choose the most appropriate pricing plan, then Log In or register for an account. Select your preferred payment method (via credit card or PayPal). Alter the file format for your Mandatory Reconsideration Esa Appeal Form and click Download. The obtained templates remain yours; you can always revisit them in the My documents section of your profile. Register for our platform and create legal documents independently like a seasoned legal professional!

  1. US Legal Forms is not a typical online directory.
  2. It's a collection of over 85,000 verified templates for a variety of business and personal situations.
  3. All documents are categorized by area and state to streamline your search process.
  4. Additionally, it integrates with advanced solutions for PDF modification and electronic signatures, allowing users with a Premium subscription to complete their paperwork seamlessly online.
  5. Gaining access to the necessary documents requires minimal effort and time.
  6. If you already possess an account, Log In and verify that your subscription is active.
  7. Download the Mandatory Reconsideration Esa Appeal Form using the corresponding button next to the filename.

Form popularity

FAQ

The percentage of individuals who win a mandatory reconsideration varies, but many people do find success with the right approach. Research suggests that appealing with a well-prepared mandatory reconsideration esa appeal form increases the likelihood of a positive outcome. Statistics indicate that a significant number of applicants who submit detailed and well-supported appeals achieve favorable results. Your understanding of the process can make a substantial difference.

To achieve a successful mandatory reconsideration, begin by reviewing the decision letter thoroughly. Gather supporting documents that reinforce your case, and ensure that your mandatory reconsideration esa appeal form is filled out in detail. Presenting clear evidence and reasoning can strengthen your appeal. Additionally, consider seeking help from professionals who understand the process and can guide you.

The odds of a successful mandatory reconsideration can vary, but many find that proper preparation increases their chances significantly. It is essential to carefully review the reasons for the initial decision and address them in your submission. Utilizing the mandatory reconsideration esa appeal form effectively can enhance your prospects. Statistics show that a considerable number of appeals result in positive decisions when addressed thoughtfully.

Engaging in a mandatory reconsideration could indeed be beneficial for your case. This process allows you to challenge a decision made about your benefits, providing a chance for a more favorable outcome. By completing the mandatory reconsideration esa appeal form accurately, you give yourself the best opportunity to present your situation clearly. Many individuals find that this step ultimately leads to success.

To initiate a mandatory reconsideration, you first need to complete the mandatory reconsideration ESA appeal form accurately. Clearly outline the reasons you believe the decision should be changed. Make sure to submit your appeal within one month of receiving the decision letter. If you need support, our platform, US Legal Forms, offers resources and templates to guide you through the process.

The chances of a successful mandatory reconsideration depend on several factors, including the strength of your case and how well you present your information. Typically, about 40% of mandatory reconsiderations are successful, which highlights the importance of a well-crafted mandatory reconsideration esa appeal form. Engaging with support services or professionals can help maximize your chances of success. Understanding the specifics of your case improves your overall outcome.

The timeframe for receiving a decision on a mandatory reconsideration can vary, but it generally takes around 8 to 12 weeks. This duration often depends on the complexity of your case and the workload at the reviewing authority. To ensure a smoother process, properly complete your mandatory reconsideration esa appeal form and submit any necessary supporting documents promptly.

The success rate for mandatory reconsiderations typically varies, but data suggests that around 40% of cases result in a favorable outcome. This is important to consider when filling out the mandatory reconsideration esa appeal form. Understanding this figure can help set realistic expectations for your appeal. Many individuals have successfully navigated this process by thoroughly preparing their information.

To write a letter requesting a reconsideration of a decision, start by clearly stating your intent and reference the original decision. Use a respectful tone, and fill out the mandatory reconsideration ESA appeal form with detailed reasons for your appeal. Including supporting evidence will strengthen your case and help clarify your position.

Writing a mandatory reconsideration involves filling out the mandatory reconsideration ESA appeal form with care. Start by outlining the original decision and your disagreement with it, followed by reasons and evidence supporting your position. A clear and comprehensive submission increases the likelihood that the decision will be reviewed favorably.

Trusted and secure by over 3 million people of the world’s leading companies

Mandatory Reconsideration Esa Appeal Form