Utah Exclusive Shipping Agreement Between Licensed Transportation Broker and Organization

State:
Multi-State
Control #:
US-00821BG
Format:
Word; 
Rich Text
Instant download

Description

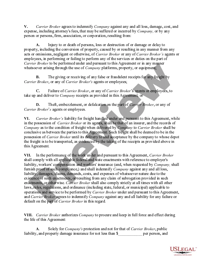
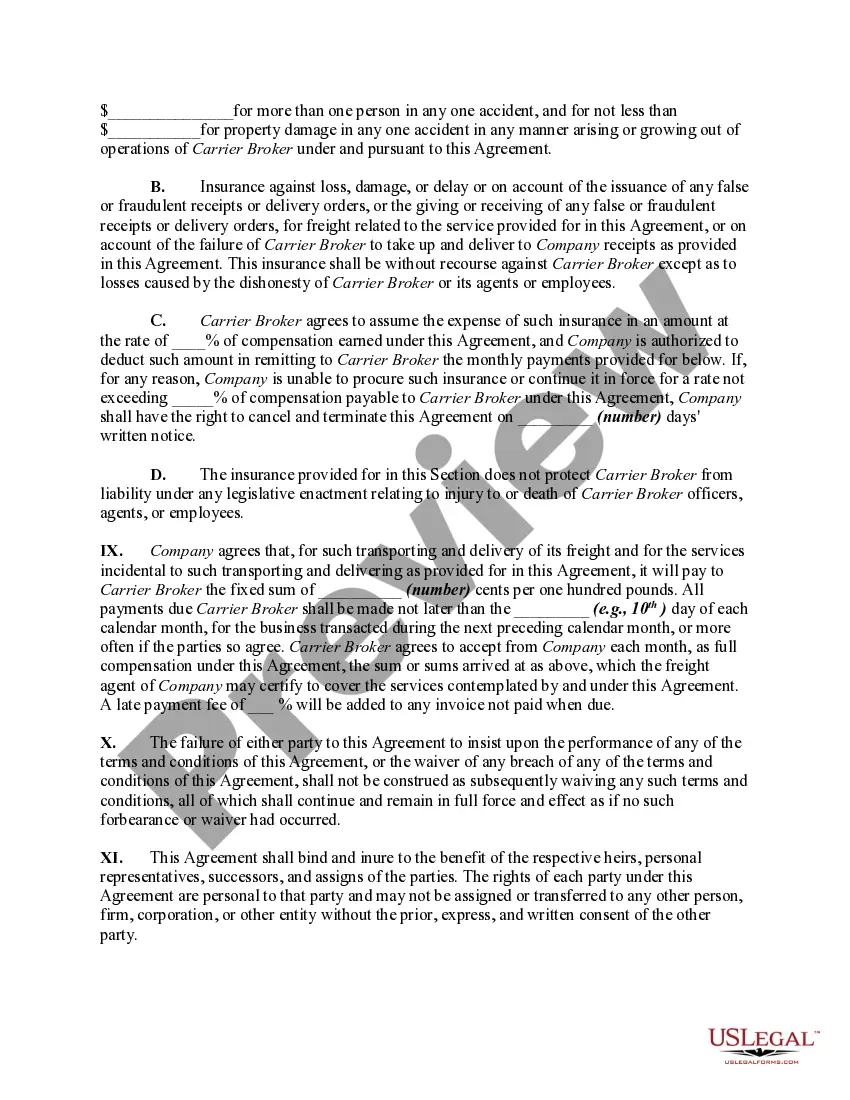
This form is a contract that names a transportation broker as the exclusive broker for a company regarding all of the company's shipping with the exception of what is moved on company's own trucks or delivered to the company prepaid.
Free preview
  • Preview Exclusive Shipping Agreement Between Licensed Transportation Broker and Organization
  • Preview Exclusive Shipping Agreement Between Licensed Transportation Broker and Organization
  • Preview Exclusive Shipping Agreement Between Licensed Transportation Broker and Organization
  • Preview Exclusive Shipping Agreement Between Licensed Transportation Broker and Organization

How to fill out Exclusive Shipping Agreement Between Licensed Transportation Broker And Organization?

If you seek to be thorough, acquire, or create legal document templates, utilize US Legal Forms, the largest repository of legal documents available online.

Take advantage of the site’s user-friendly practical search tool to find the documents you require.

Various templates for commercial and personal purposes are organized by categories, states, or keywords.

Step 5. Process the payment. You can utilize your credit card or PayPal account to complete the transaction.

Step 6. Select the format of the legal document and download it to your device. Step 7. Fill out, modify, and print or sign the Utah Exclusive Shipping Agreement Between Licensed Transportation Broker and Company.

Every legal document template you acquire is yours permanently. You have access to every form you downloaded through your account. Click on the My documents section and choose a form to print or download again.

Compete and acquire the Utah Exclusive Shipping Agreement Between Licensed Transportation Broker and Company with US Legal Forms. There are millions of professional and state-specific forms available for your business or personal needs.

  1. Utilize US Legal Forms to obtain the Utah Exclusive Shipping Agreement Between Licensed Transportation Broker and Company in just a few clicks.
  2. If you are already a US Legal Forms customer, Log In to your account and click the Download button to access the Utah Exclusive Shipping Agreement Between Licensed Transportation Broker and Company.
  3. You can also find forms you previously downloaded in the My documents section of your account.
  4. If this is your first time using US Legal Forms, follow these steps.
  5. Step 1. Make sure you have selected the form for your specific city/state.
  6. Step 2. Use the Review option to examine the content of the form. Remember to read the details.
  7. Step 3. If you are dissatisfied with the form, use the Search feature at the top of the page to find other types of legal document templates.
  8. Step 4. Once you've found the form you need, click the Purchase now button. Choose the pricing plan you prefer and enter your details to register for an account.

Form popularity

FAQ

The key difference between a broker and a shipper lies in their roles within the shipping industry. A shipper requires transportation services for their goods, while a broker connects shippers with carriers that provide those services. Understanding this distinction is vital, especially when engaging in a Utah Exclusive Shipping Agreement Between Licensed Transportation Broker and Organization, as each party has specific responsibilities.

A broker in shipping serves as a facilitator who coordinates logistics between shippers and carriers. They identify the best transportation options, negotiate rates, and ensure compliance with regulatory requirements. By leveraging a Utah Exclusive Shipping Agreement Between Licensed Transportation Broker and Organization, a broker also helps streamline documentation and communication, making the shipping process more efficient for you.

The agreement between a carrier and a shipper typically outlines the terms and conditions under which transportation services will be provided. This includes details about rates, delivery schedules, and liability. In a Utah Exclusive Shipping Agreement Between Licensed Transportation Broker and Organization, this agreement is formalized to promote clarity and accountability between all parties involved in the shipping process.

Filing Utah sales tax online can be straightforward. You can visit the Utah State Tax Commission's website to access the online filing system. It is important to keep your shipping agreements, such as the Utah Exclusive Shipping Agreement Between Licensed Transportation Broker and Organization, handy, as they may contain pertinent information needed for accurate reporting.

In the context of a Utah Exclusive Shipping Agreement Between Licensed Transportation Broker and Organization, the shipper is the party that requires transportation services for goods. The broker acts as an intermediary, connecting the shipper with carriers who can fulfill the shipping needs. This relationship is crucial for ensuring effective logistics management and helps to streamline communication during the shipping process.

A broker shipper acts as an intermediary between shippers and carriers. They facilitate the shipping process, ensuring that goods are transported according to the Utah Exclusive Shipping Agreement Between Licensed Transportation Broker and Organization. By leveraging their network and industry knowledge, broker shippers help organizations secure optimal rates while maintaining high service standards.

Engaging a broker for shipping simplifies logistics and enhances efficiency. Brokers possess expertise in navigating the complexities of transport regulations, including those outlined in the Utah Exclusive Shipping Agreement Between Licensed Transportation Broker and Organization. By working with a knowledgeable broker, you can focus on your core business while they handle scheduling, compliance, and other essential shipping details.

A brokerage agreement serves to establish a formal relationship between a transportation broker and an organization seeking shipping services. This document outlines the rights and responsibilities of both parties, ensuring compliance with the Utah Exclusive Shipping Agreement Between Licensed Transportation Broker and Organization. It promotes trust, clarifies terms, and sets the stage for smooth transactions.

To efficiently file your carrier packets, start by organizing all required documentation, such as licenses, insurance, and safety records. Ensure that you have a clear understanding of the Utah Exclusive Shipping Agreement Between Licensed Transportation Broker and Organization guidelines. Utilize a digital platform like US Legal Forms to streamline the submission process and maintain accurate records easily.

Freight brokers can be classified into several types based on their business model. The most common types include traditional freight brokers, digital freight brokers, and niche brokers who specialize in specific cargo types or industries. Understanding the unique offerings of these different brokers can help businesses select the best partner for their transportation needs.

Trusted and secure by over 3 million people of the world’s leading companies

Utah Exclusive Shipping Agreement Between Licensed Transportation Broker and Organization