New Hampshire Lease or Rental Agreement of Personal Property of any Type with Option to Purchase and Own Personal Property - Lease or Rent to Own

Category:
State:
Multi-State
Control #:
US-01307BG
Format:
Word; 
Rich Text
Instant download

Description

The following lease agreement form is meant to be used by one individual dealing with another individual or a commercial transaction between non-consumers. It therefore does not contain disclosures required by the Federal Consumer Leasing Act.


The Federal Consumer Leasing Act, which is part of the Truth in Lending Act, applies to any lease of consumer goods for more than four months in which the total contractual obligation does not exceed $25,000. (It does not apply to leases of real estate.) This law requires the lessor (the owner of the auto you lease, for example) to disclose information before you sign the lease. Among the most important items are


" the capitalized cost -- that is, the cost of the goods being leased (the capitalized cost is negotiable to the same extent that the price of goods is negotiable if you were buying them instead of leasing them);

" the total amount of any initial payment you are required to pay;

" the number and amounts of monthly payments;

" the total amount for fees, such as license fees and taxes;

" any penalty for default or late payments;

" the annual mileage allowance and the extra charges involved if you exceed that allowance;

" whether you can end the lease early, and the method of computing the charge if you do so;

" whether you can purchase the auto at the end of the lease and for what price;

" any liability that you may have for the difference between the estimated value of the auto and its market value at the time you end the lease; and

" any extra payment that you must make at the end of the lease.


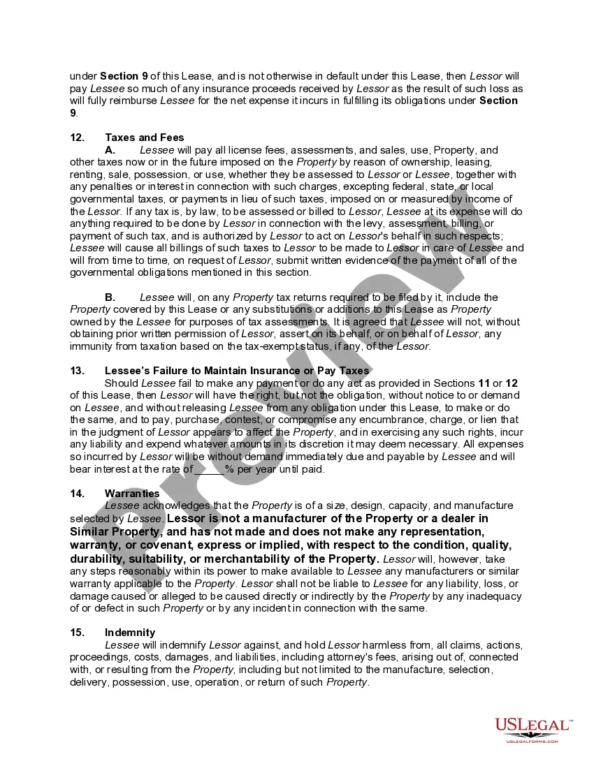
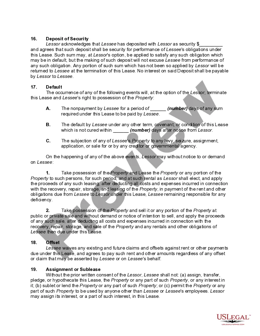
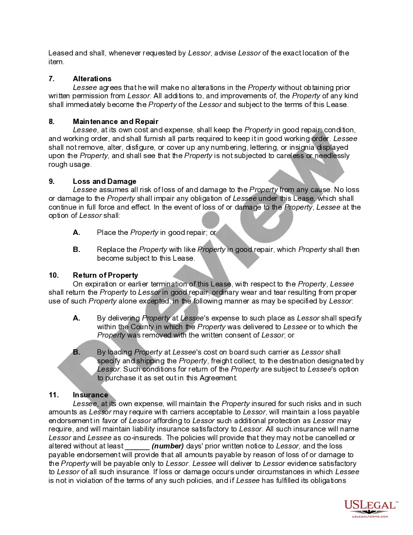
Free preview
  • Preview Lease or Rental Agreement of Personal Property of any Type with Option to Purchase and Own Personal Property - Lease or Rent to Own
  • Preview Lease or Rental Agreement of Personal Property of any Type with Option to Purchase and Own Personal Property - Lease or Rent to Own
  • Preview Lease or Rental Agreement of Personal Property of any Type with Option to Purchase and Own Personal Property - Lease or Rent to Own
  • Preview Lease or Rental Agreement of Personal Property of any Type with Option to Purchase and Own Personal Property - Lease or Rent to Own
  • Preview Lease or Rental Agreement of Personal Property of any Type with Option to Purchase and Own Personal Property - Lease or Rent to Own
  • Preview Lease or Rental Agreement of Personal Property of any Type with Option to Purchase and Own Personal Property - Lease or Rent to Own

How to fill out Lease Or Rental Agreement Of Personal Property Of Any Type With Option To Purchase And Own Personal Property - Lease Or Rent To Own?

You might spend hours online attempting to locate the legal document format that meets the state and federal standards you require.

US Legal Forms offers hundreds of legal forms that are vetted by experts.

You can download or print the New Hampshire Lease or Rental Contract for Personal Property of any Type with Option to Purchase and Own Personal Property - Lease or Rent to Own from the service.

If available, utilize the Preview button to view the document format as well.

  1. If you already possess a US Legal Forms account, you can sign in and click the Get button.
  2. After that, you can complete, modify, print, or sign the New Hampshire Lease or Rental Agreement of Personal Property of any Type with Option to Purchase and Own Personal Property - Lease or Rent to Own.
  3. Every legal document format you acquire is yours permanently.
  4. To obtain another copy of the acquired document, go to the My documents section and click the relevant button.
  5. If you are using the US Legal Forms site for the first time, follow the simple instructions below.
  6. Firstly, ensure that you have selected the correct document format for the region/city of your choice.
  7. Review the document outline to ensure you have chosen the right form.

Form popularity

FAQ

Here are some of the most important items to cover in your lease or rental agreement.Names of all tenants.Limits on occupancy.Term of the tenancy.Rent.Deposits and fees.Repairs and maintenance.Entry to rental property.Restrictions on tenant illegal activity.More items...?

optiontobuy arrangement can be a solution for some potential homebuyers, but it's not right for everyone. If you're not certain that you're going to be able to purchase the rental home at the end of the lease period, you might be better served with a standard rental agreement.

Lease option contracts are legal in the UK dependant on the wording and the individual circumstances. Buyers can register restrictions with the HM Land Registry to protect their right to purchase at a later date in terms of a Lease Option Contract.

A lease option allows the landlord to retain the legal title of the lease option property, without the mundane management responsibilities. Lease options are also an ideal way of securing long term tenants. Most lease-options are for an average term of between 7 and 10 years.

They give the tenant the ability, prior to the conclusion of the lease term, to continue leasing the premises. An option to renew or extend the lease means that upon the tenant's exercise of the option (choice), the provisions of the agreed-upon option are adopted for another defined term.

Advantages of Lease Purchases for Sellers ExplainedIncreased return on investment: The upfront option payment can increase the return on investment, and it stays with the owner even if the tenant does not purchase the property.Locked-in sale price: The owner can lock in a reasonable price for the home in advance.More items...?

Lease Purchase is a form of Hire Purchase or Conditional Sale agreement - requiring you to take ownership of the vehicle after all payments have been made - but the regular payments are structured like a lease/rental agreement.

When writing your own renters agreement you are able to include your own classes, such as tenants aren't allowed to have pets. However, these added clauses must be in line with both the landlord's and tenants' rights and if they infringe on these rights then they are void and can't stand up in a court of law.

In Scotland (unlike in England), there is no ability to register an option agreement in the Land Register. As a result, a Scottish option is a type of personal right (enforceable against the other party to the option agreement) rather than a real right (enforceable against anyone and everyone).

A lease is a legal, binding contract outlining the terms under which one party agrees to rent property owned by another party. It guarantees the tenant or lessee use of the property and guarantees the property owner or landlord regular payments for a specified period in exchange.

Trusted and secure by over 3 million people of the world’s leading companies

New Hampshire Lease or Rental Agreement of Personal Property of any Type with Option to Purchase and Own Personal Property - Lease or Rent to Own