Montana Offer to Purchase Business, Including Good Will

State:
Multi-State
Control #:
US-03294BG
Format:
Word; 
Rich Text
Instant download

Description

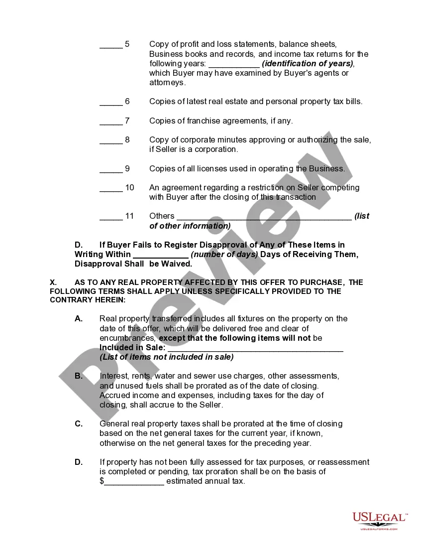
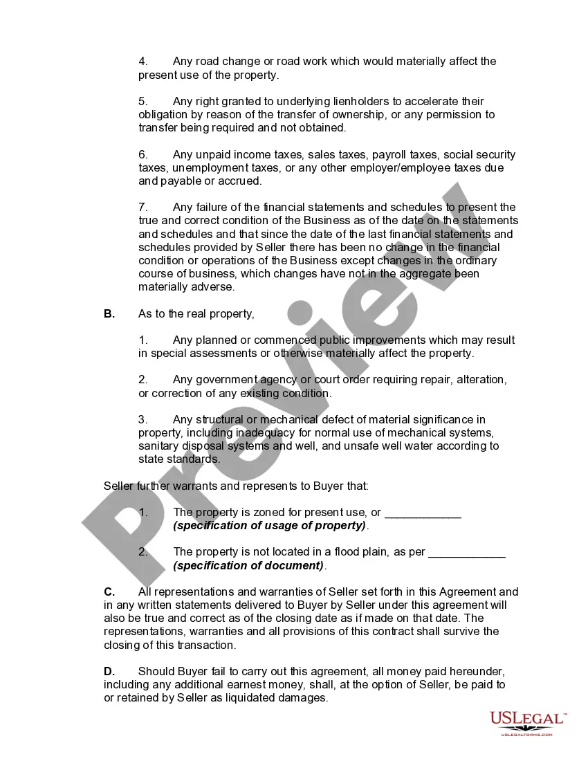
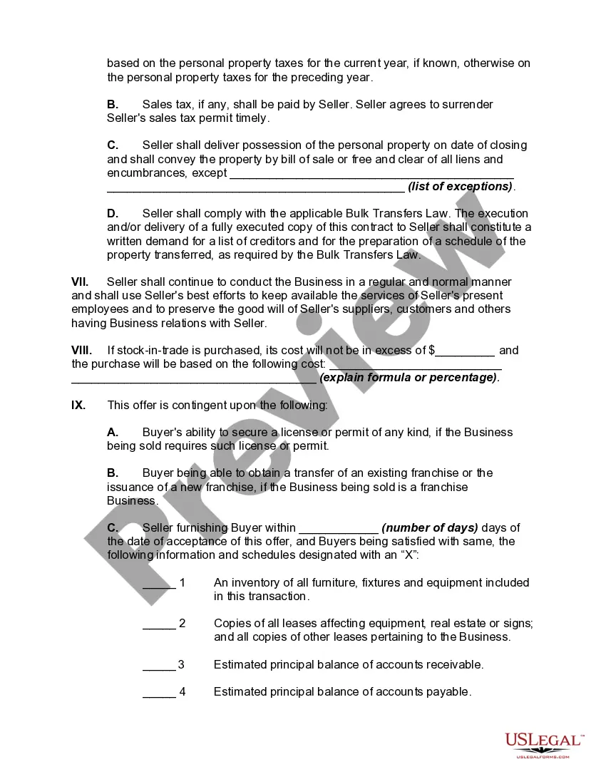
The sale of any ongoing business, even a sole proprietorship, can be a complicated transaction. Depending on the nature of the business sold, statutes and regulations concerning the issuance and transfer of permits, licenses, and/or franchises should be consulted. If a license or franchise is important to the business, the buyer generally would want to make the sales agreement contingent on such approval. Sometimes, the buyer will assume certain debts, liabilities, or obligations of the seller. In such a sale, it is vital that the buyer know exactly what debts he/she is assuming.


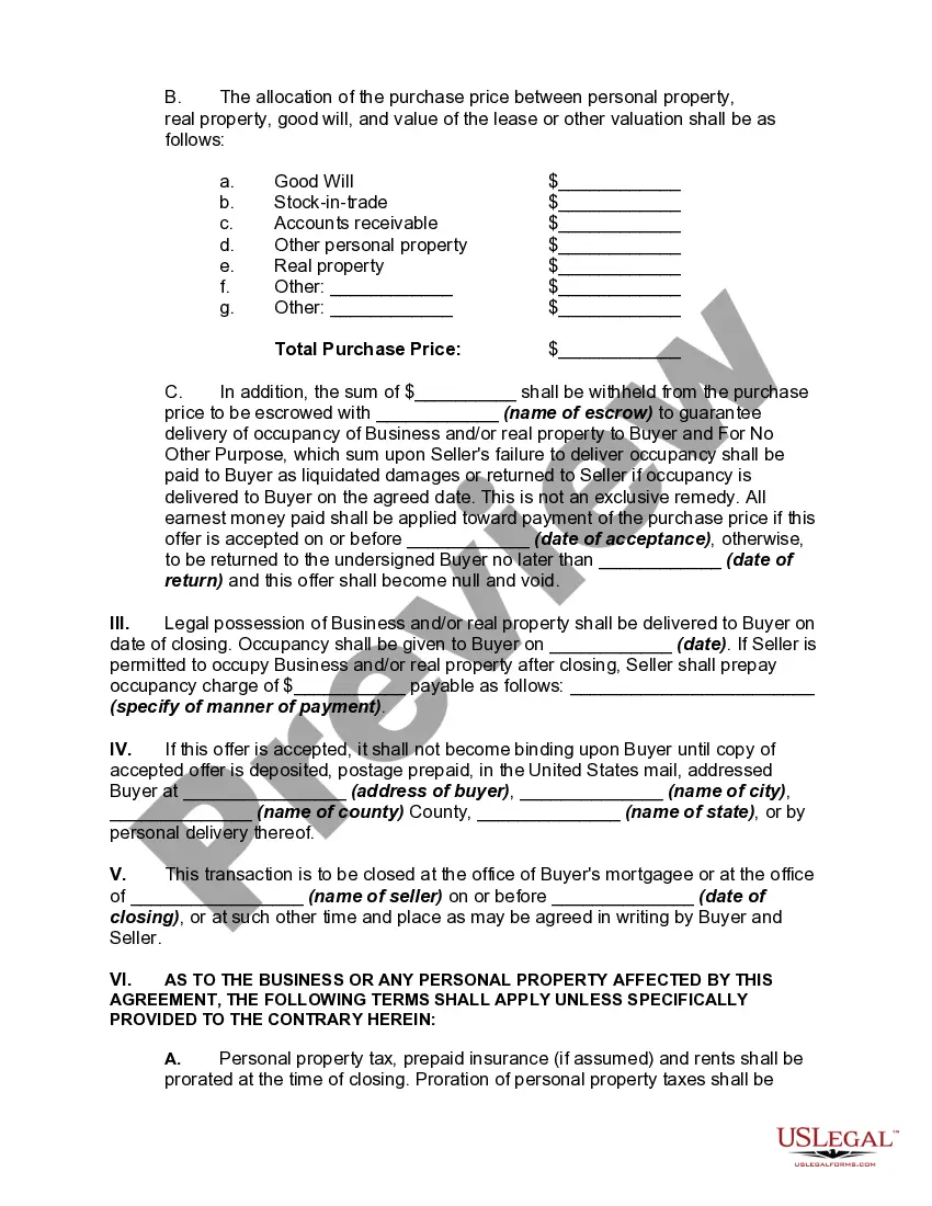
A sale of a business is considered for tax purposes to be a sale of the various assets involved. Therefore it is important that the contract allocate parts of the total payment among the items being sold. For example, the sale may require the transfer of the place of business, including the real property on which the building(s) of the business are located. The sale might involve the assignment of a lease, the transfer of good will, equipment, furniture, fixtures, merchandise, and inventory. The sale may also include the transfer of the business name, patents, trademarks, copyrights, licenses, permits, insurance policies, notes, accounts receivables, contracts, cash on hand and on deposit, and other tangible or intangible properties. It is best to include a broad transfer provision to insure that the entire business is being transferred to the buyer, with an itemization of at least the more important assets to be transferred.

Free preview
  • Preview Offer to Purchase Business, Including Good Will
  • Preview Offer to Purchase Business, Including Good Will
  • Preview Offer to Purchase Business, Including Good Will
  • Preview Offer to Purchase Business, Including Good Will
  • Preview Offer to Purchase Business, Including Good Will
  • Preview Offer to Purchase Business, Including Good Will
  • Preview Offer to Purchase Business, Including Good Will
  • Preview Offer to Purchase Business, Including Good Will

How to fill out Offer To Purchase Business, Including Good Will?

Are you in a situation where you frequently require documents for potential business or specific purposes? There is a wide selection of legal document templates accessible online, but finding reliable versions can be challenging.

US Legal Forms provides a vast collection of form templates, such as the Montana Offer to Purchase Business, Including Good Will, which are crafted to comply with both federal and state regulations.

If you are already familiar with the US Legal Forms website and possess an account, simply Log In. After that, you can download the Montana Offer to Purchase Business, Including Good Will template.

Select a convenient document format and download your copy.

Access all the document templates you have purchased in the My documents section. You can obtain another copy of Montana Offer to Purchase Business, Including Good Will at any time if needed. Just navigate to the required form to download or print the document template.

  1. If you do not have an account and wish to start using US Legal Forms, follow these steps.
  2. Find the form you need and ensure it is for the correct location/region.
  3. Use the Preview button to review the form.
  4. Read the description to confirm you have selected the right form.
  5. If the form is not what you are looking for, use the Lookup field to find the form that suits your requirements.
  6. Once you find the correct form, click on Get now.
  7. Choose the pricing plan you desire, provide the necessary information to create your account, and process your order with PayPal or a credit card.

Form popularity

FAQ

Yes, you can legally create your own contract to buy a business in Montana, including provisions for good will. However, it's essential to ensure that your contract is comprehensive and legally binding. While you may draft it yourself, using resources from platforms like USLegalForms can help you include all necessary elements that protect your interests. Doing this can give you confidence that your contract adheres to state laws and regulations.

What to include in a business sales contract.Name the parties. Clearly state the names and locations of the buyer and seller.List the assets.Define liabilities.Set sale terms.Include other agreements.Make your sales agreement digital.

The acquired assets usually include all fixed assets (usually supported by a detailed list), all inventory, all supplies, tools, computers and related software, websites, all social media accounts used in connection with the Business, all permits, patents, trademarks, service marks, trade names (including but not

Know How to Fill Out the Business Bill of SaleDate of Sale.Buyer's name and address.Seller's name and address.Business name and details, which include: State of incorporation. Address of the business's main headquarters. Assets, shares, personal property and other interests included with the company.

The simple answer is YES. You can write your own contracts. There is no requirement that they must be written by a lawyer. There is no requirement that they have to be a certain form or font.

What Should I Include in a Sales Contract?Identification of the Parties.Description of the Services and/or Goods.Payment Plan.Delivery.Inspection Period.Warranties.Miscellaneous Provisions.

A Business Purchase Agreement is a contract used to transfer the ownership of a business from a seller to a buyer. It includes the terms of the sale, what is or is not included in the sale price, and optional clauses and warranties to protect both the seller and the purchaser after the transaction has been completed.

How to Write a Business Purchase Agreement?Step 1 Parties and Business Information. A business purchase agreement should detail the names of the buyer and seller at the start of the agreement.Step 2 Business Assets.Step 3 Business Liabilities.Step 4 Purchase Price.Step 6 Signatures.

Any purchase agreement should include at least the following information:The identity of the buyer and seller.A description of the property being purchased.The purchase price.The terms as to how and when payment is to be made.The terms as to how, when, and where the goods will be delivered to the purchaser.More items...

Your sale and purchase agreement should include the following:Your name(s) and the names of the seller(s).The address of the property.The type of title (for example, freehold or leasehold).The price.Any deposit you must pay.Any chattels being sold with the property (for example, whiteware or curtains).More items...

Trusted and secure by over 3 million people of the world’s leading companies

Montana Offer to Purchase Business, Including Good Will